• Предмет: Математика
  • Автор: fogam
  • Вопрос задан 8 лет назад

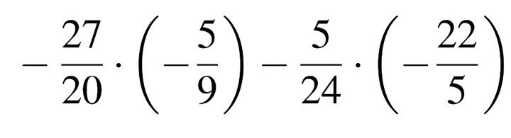
помогите!!! решить. картинка

Приложения:

Ответы

Ответ дал: VeronikaPalna
0
................................
Приложения:
Вас заинтересует