Ответы
Ответ дал:
0
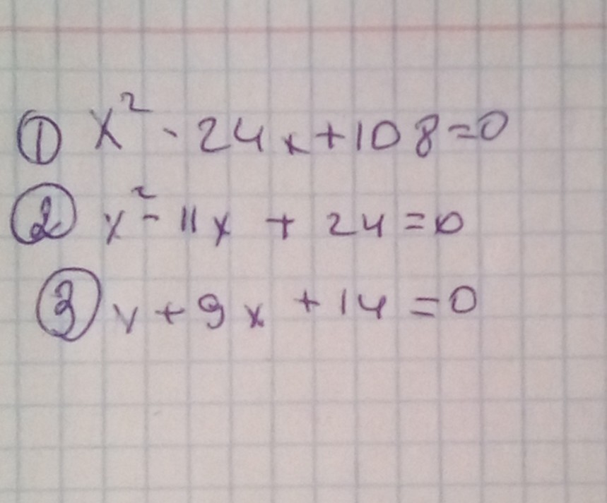
D=576-4*1*108=576-432=144
х1=(24+12)2=18
х2=(24-12)2=6
2) D=121-4*24*1=121-96=25
х1=(11-5)2=3
х2=(11+5)2=8
3)D=81-4*1*14=81-56=25
х1=-(9+5)2=-2
х2=(-9-5)2=-7
х1=(24+12)2=18
х2=(24-12)2=6
2) D=121-4*24*1=121-96=25
х1=(11-5)2=3
х2=(11+5)2=8
3)D=81-4*1*14=81-56=25
х1=-(9+5)2=-2
х2=(-9-5)2=-7
Вас заинтересует
2 года назад
3 года назад
9 лет назад
9 лет назад
10 лет назад