Ответы
Ответ дал:
0
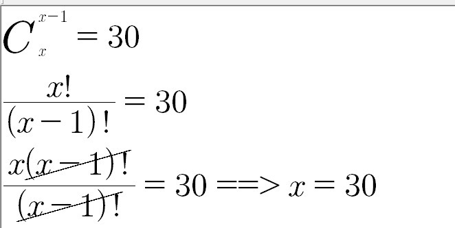
см скриншот
===========================
===========================
Приложения:

Ответ дал:
0
ага крутое приложение
Ответ дал:
0
кстати, я всегда хотел с тобой дружить
Ответ дал:
0
будем друзьями?
Ответ дал:
0
давай
Ответ дал:
0
классно
Вас заинтересует
2 года назад
3 года назад
3 года назад
9 лет назад