• Предмет: Математика
  • Автор: kot317
  • Вопрос задан 8 лет назад

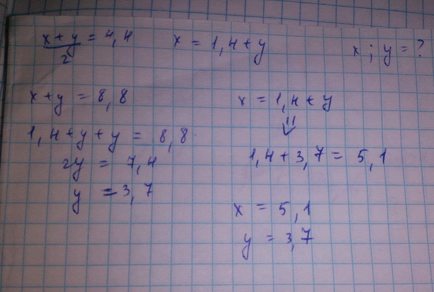
средние арифметическое двух чисел 4,4. Найдите эти числа, если одно из них на 1,4 больше другого

Ответы

Ответ дал: Djasurxon
0
решение в приложении..
Приложения:
Вас заинтересует