• Предмет: Алгебра
  • Автор: настёна677
  • Вопрос задан 8 лет назад

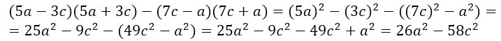
представьте в виде многочлена: (5а-3с)(5а+3с)-(7с-а)(7с+а);

Ответы

Ответ дал: Нау4пок
0
Решение во вложении.
Приложения:
Вас заинтересует