• Предмет: Алгебра
  • Автор: 908142
  • Вопрос задан 8 лет назад

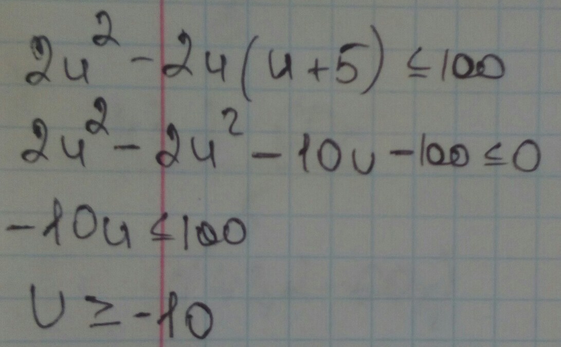
Реши неравенство 2u^2−2u(u+5)≤100

Выбери правильный вариант ответа
u≤-6
u≤-10
u≥-10
u≥6
u≥-6

Ответы

Ответ дал: Анастасия14121
0
........................
Приложения:
Вас заинтересует