• Предмет: Алгебра
  • Автор: 4uter123
  • Вопрос задан 8 лет назад

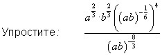
ПОМОГИТЕ плизззз 99 балов

Приложения:

Ответа на этот вопрос пока нет. Попробуйте найти его через форму поиска.

Вас заинтересует