• Предмет: Алгебра
  • Автор: karinabik2005
  • Вопрос задан 8 лет назад

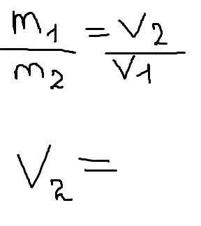
Вырази из формулы указанную переменную, помогите пж)

Приложения:

Ответы

Ответ дал: AnnsBrain
0
V2 = m1/V1 * m2

Если не трудно , поставь лайк и поставь лучшим
Вас заинтересует