• Предмет: Математика
  • Автор: evelin228
  • Вопрос задан 9 лет назад

(4²/³)²· подскажите пожалуйста

Ответы

Ответ дал: parus77
0
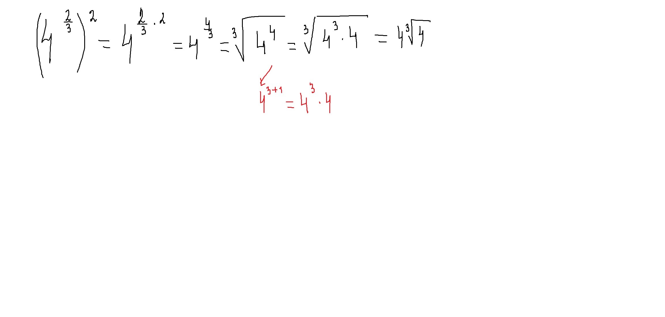
смотри решение внизу,думаю,что так.
Приложения:
Ответ дал: evelin228
0
спасибо!
Ответ дал: parus77
0
добавила еще одно решение.Пишите аккуратней,чтобы не переспрашивать.
Ответ дал: evelin228
0
Спасибо я понял
Ответ дал: evelin228
0
Удачм
Ответ дал: evelin228
0
удачи
Вас заинтересует