• Предмет: Алгебра
  • Автор: gott1
  • Вопрос задан 9 лет назад

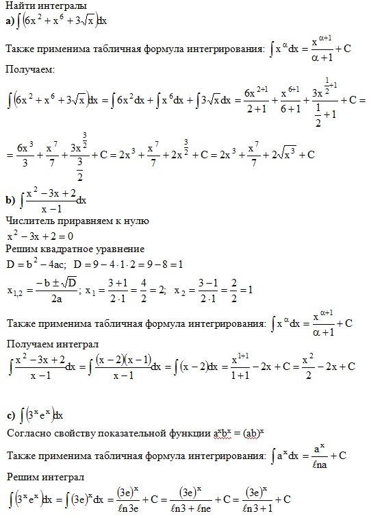
Найти неопределенные интегралы

Приложения:

Ответы

Ответ дал: eug20b
0
Решения на фотографии
Приложения:
Вас заинтересует