Ответы
Ответ дал:
0
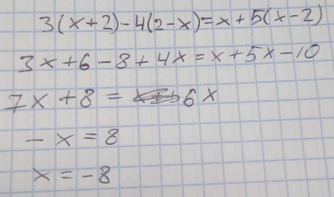
3(x + 2) - 4(2 - x) = x + 5(x - 2)
3x + 6 - 8 + 4x = x + 5x - 10
7x - 2 = 6x - 10
7x - 6x = 2 - 10
x = - 8
3x + 6 - 8 + 4x = x + 5x - 10
7x - 2 = 6x - 10
7x - 6x = 2 - 10
x = - 8
Ответ дал:
0
ответ : x = - 8.....
Приложения:

Вас заинтересует
2 года назад
2 года назад
3 года назад
3 года назад
9 лет назад
9 лет назад
9 лет назад