• Предмет: Физика
  • Автор: zhakypbaevadil
  • Вопрос задан 11 лет назад

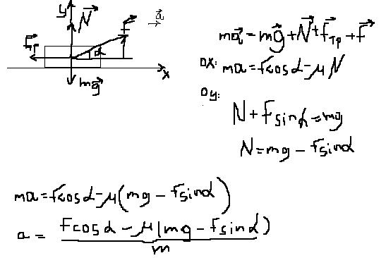
тело массой 4 кг движется по горизонтальной поверхности под действием силы 22Н, направленной под углом 45 градусов к горизонту. Коэффициент трения между телом и плоскостью равен 0,2. Найти ускорение тела.

Ответы

Ответ дал: ssmmlol
0
Надеюсь,все понятно)
Приложения:
Ответ дал: zhakypbaevadil
0
кое как но вроде разобрался, спасибо!
Ответ дал: zhakypbaevadil
0
а чему равно Fcos альфа - М(mg - Fsin альфа) /m ?
Вас заинтересует