Ответы
Ответ дал:
0
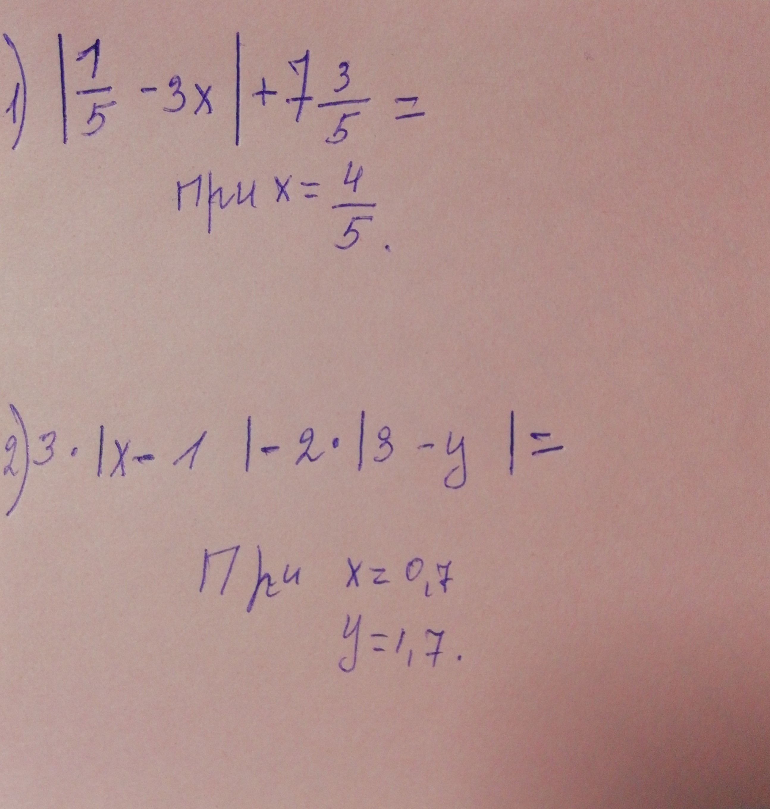
1/5+3х+7 1/5=3х+7 2/5
х=4/5
3*4/5+7,4=3*0,8+7,4=2,4+7,4=8,8
3*х+1-(2*3+у)= 3х+1-6+у
х=0,7 у=1,7
3+0,7+1-6+1,7=2,1+1,6+1,7=5,4
х=4/5
3*4/5+7,4=3*0,8+7,4=2,4+7,4=8,8
3*х+1-(2*3+у)= 3х+1-6+у
х=0,7 у=1,7
3+0,7+1-6+1,7=2,1+1,6+1,7=5,4
Вас заинтересует
2 года назад
3 года назад
3 года назад
9 лет назад
9 лет назад
10 лет назад
10 лет назад