• Предмет: Алгебра
  • Автор: Karma15666
  • Вопрос задан 8 лет назад

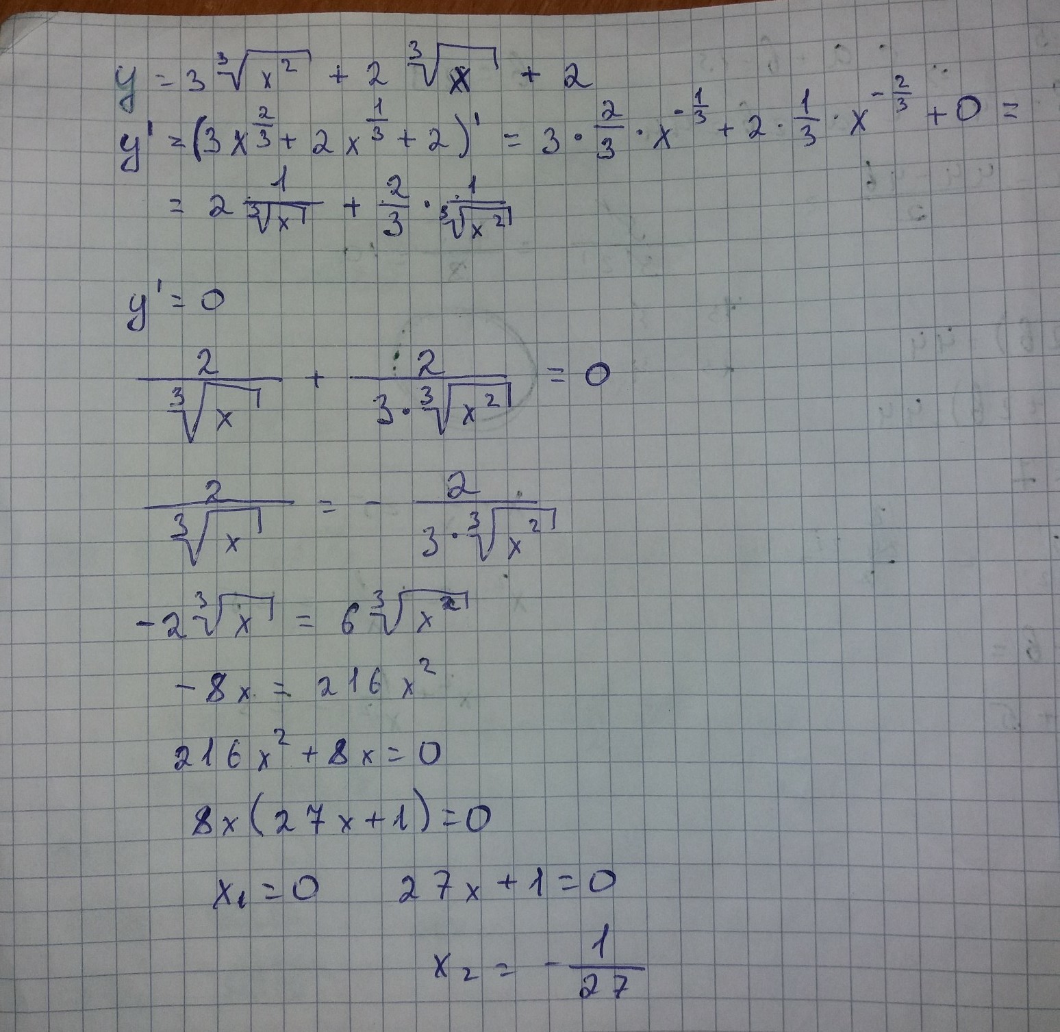
Пожалуйста помогите найти производную и критические точки функции:

у= 3 корень кубический из х^2 + 2корень кубический из х + 2
Нужно найти максимальные и минимальные точки функции

Приложения:

Ответы

Ответ дал: Kaygorodovt
0
11/3(корень 8 степени из 3) + 1/3(корень 3 степени из x^2)
Ответ дал: aaltyn
0
1)производное
2)критические точки функций
Приложения:
Вас заинтересует