• Предмет: Математика
  • Автор: Derevo4
  • Вопрос задан 8 лет назад

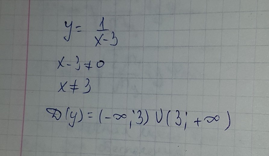
y=1/x-3 найдите область определения функции, заданной формулой

Ответы

Ответ дал: 1233090
0
решение задания смотри на фотографии
Приложения:
Вас заинтересует