• Предмет: Алгебра
  • Автор: adelina2824
  • Вопрос задан 8 лет назад

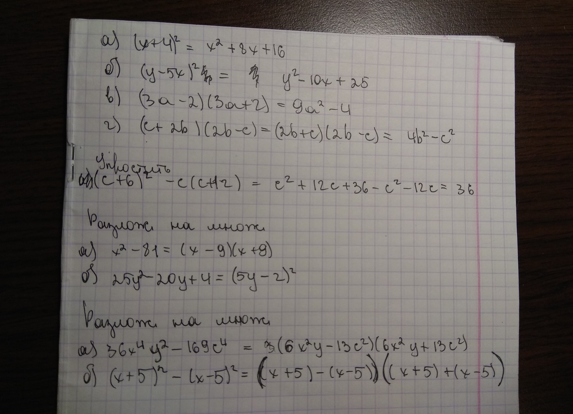
Преобразить в многочлен а) (x+4)^2 б) (y-5x)^2b в) (3a-2)(3a+2) г) (c+2b)(2b-c)
Разложить на множители a) x^2-81 б) 25y^2-20y+4 в) 64x^3-8
Упростить выражение (с+6)^2-c(c+12)
Разложить на множители a) 36x^4y^2-169c^4 б) (x+5)^2-(x-5)^2
Помогите пожалуйста

Ответы

Ответ дал: Махыыыыыыч
0
Надеюсь что так и ты всё поймёшь. Удачки
Приложения:
Ответ дал: adelina2824
0
а под в) есть там где разлож на многочлен
Ответ дал: Махыыыыыыч
0
В смысле?
Ответ дал: adelina2824
0
64x^3-8
Ответ дал: Махыыыыыыч
0
там в 3 степени? уверена?
Ответ дал: adelina2824
0
да
Вас заинтересует