Ответы
Ответ дал:
0
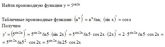
Решение на фотографии
Приложения:

Вас заинтересует
3 года назад
9 лет назад
9 лет назад