Добрый вечер! Помогите, пожалуйста, вычислить определенный интеграл. С подробным решением.
pi/4 интеграл 0 ( x^2)*cos(2*x)*dx
Спасибо!
Ответы
Ответ дал:
0
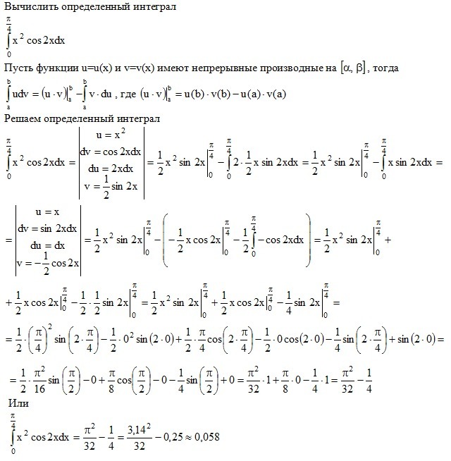
Решение на фотографии
Приложения:

Вас заинтересует
2 года назад
2 года назад
3 года назад
9 лет назад
9 лет назад
9 лет назад