• Предмет: Геометрия
  • Автор: умник5010
  • Вопрос задан 8 лет назад

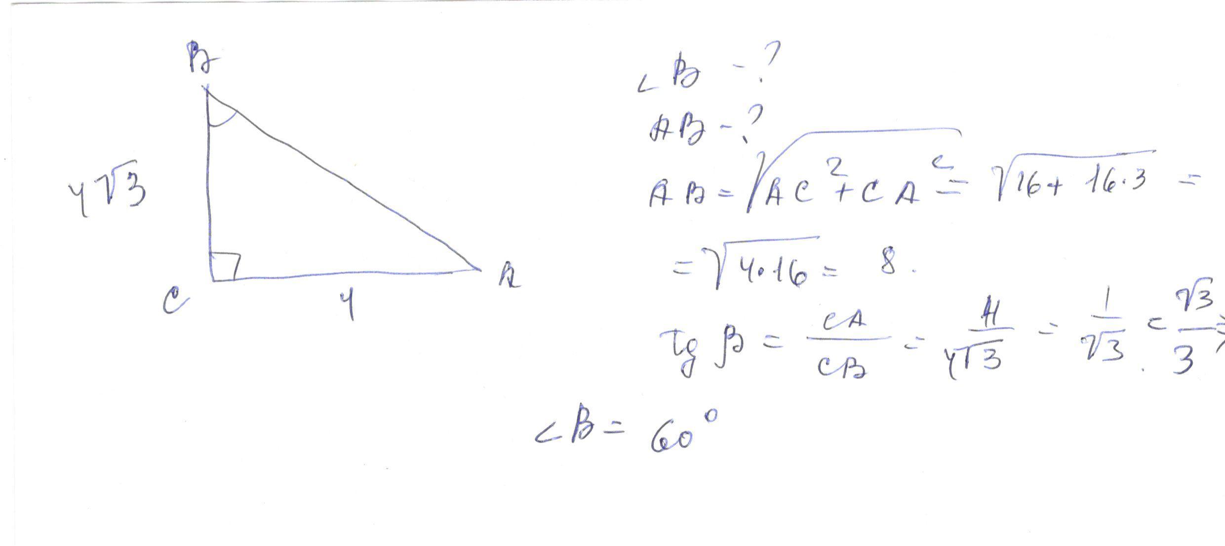
прям в прямоугольном треугольнике ABC, угол C=90,AC=4см, CB=4 корня из 3.Найдите угол B и гипотенузу АВ

Ответы

Ответ дал: KjkfKthf
0
решение в приложении
Приложения:
Ответ дал: KjkfKthf
0
сейчас, второе уже решила
Ответ дал: умник5010
0
спасибо
Ответ дал: умник5010
0
точно правильно?
Ответ дал: умник5010
0
откуда ты получила 16?
Ответ дал: умник5010
0
Дано: треугольник ОКА. угол К=90 катет АК=9 корня из 3, угол КАО=30.Найдите второй и гипотенузу треугольника.
Вас заинтересует