• Предмет: Физика
  • Автор: maksim1199
  • Вопрос задан 8 лет назад

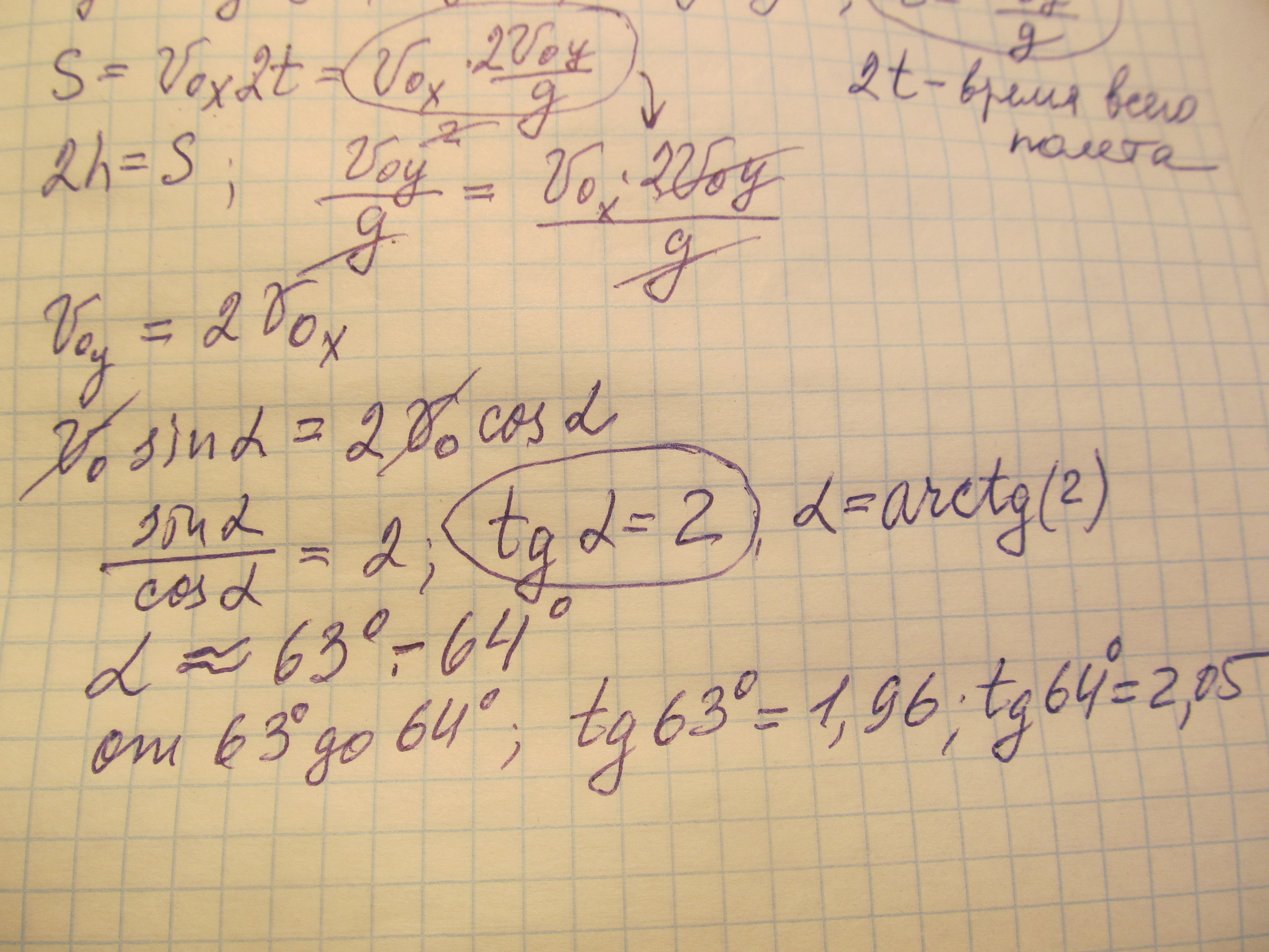
Под каким углом нужно бросить тело, чтобы высота подъёма равнялась половине дальности полёта? Сопротивление воздуха не учитыват

Ответы

Ответ дал: 21fizika
0
Решение на 2-х фото//////////
Приложения:
Ответ дал: IUV
0
смотри решение во вложении

Приложения:
Вас заинтересует