Ответы
Ответ дал:
0
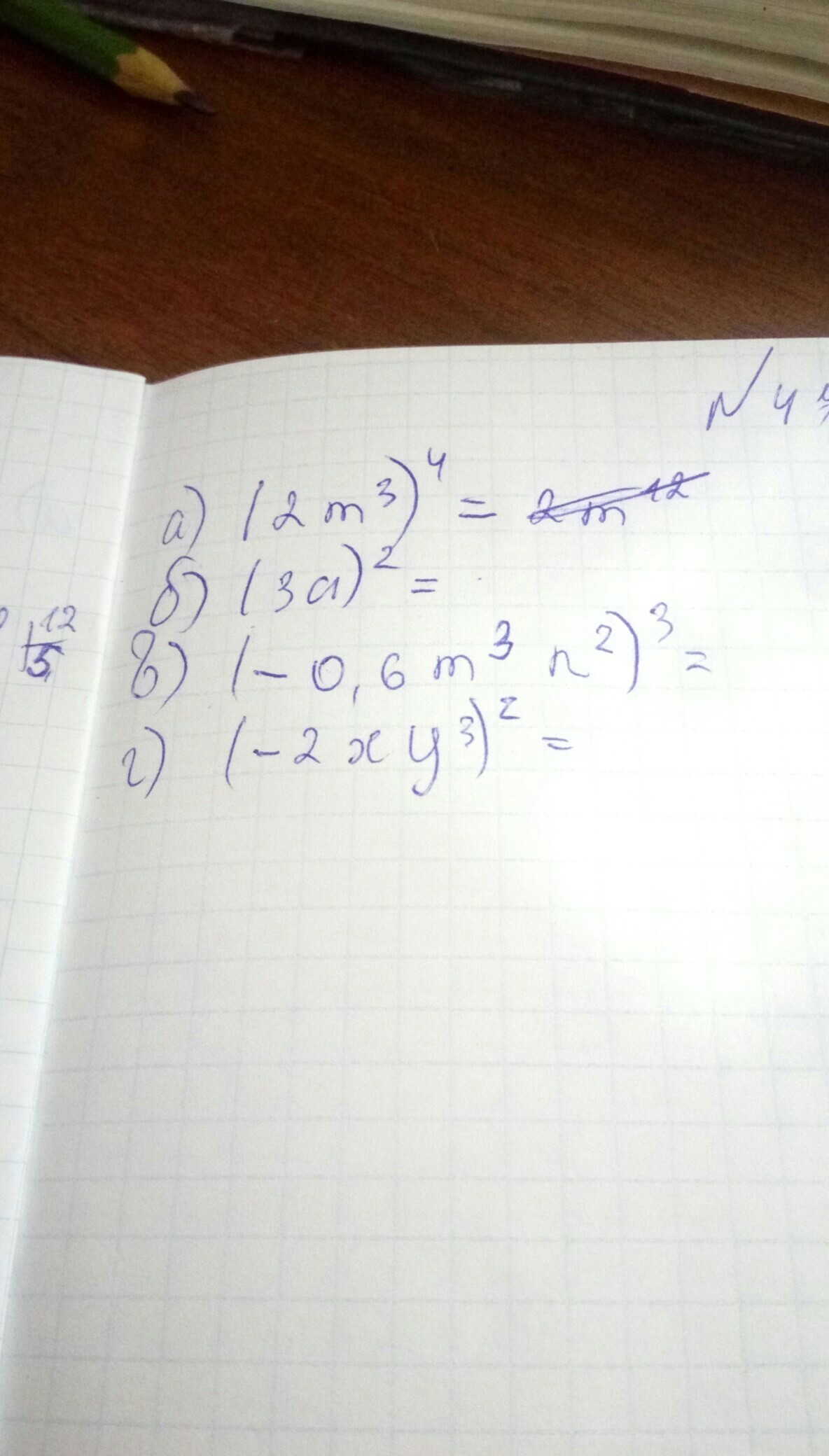
=2⁴m¹²=16m¹²
=3²a²=9a²
=(-0,6)³m⁹n⁶=-0,216m⁹n⁶
=(-2)²x²y⁶=4x²y⁶
=3²a²=9a²
=(-0,6)³m⁹n⁶=-0,216m⁹n⁶
=(-2)²x²y⁶=4x²y⁶
Ответ дал:
0
спасибо тебе огромное очень помог
Вас заинтересует
2 года назад
2 года назад
3 года назад
9 лет назад
9 лет назад
10 лет назад
10 лет назад