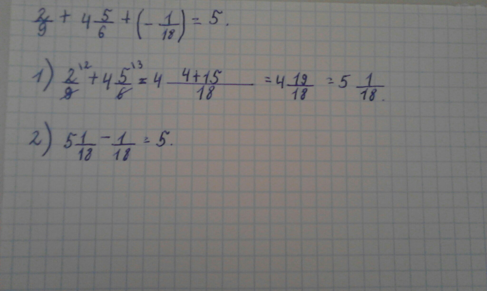
Найдите значение выражения две девятых плюс четыре целых пять шестых плюсминус одна восемнадцатая?
Ответы
Ответ дал:
0
Решение во вложении.
Удачи))))
Удачи))))
Приложения:
Вас заинтересует
2 года назад
2 года назад
3 года назад
3 года назад
9 лет назад
9 лет назад
10 лет назад