• Предмет: Математика
  • Автор: ClocksPlay
  • Вопрос задан 9 лет назад

ПОМОГИТЕ решить определенные интегралы!!

Приложения:

Ответы

Ответ дал: moboqe
0
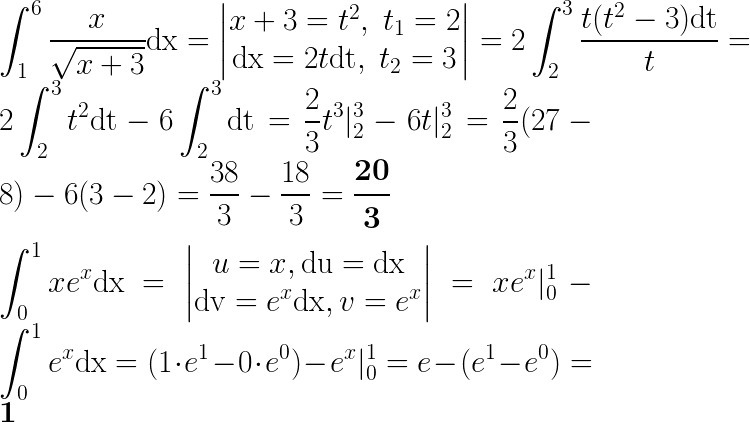
$$ LARGE \ int_{1}^{6}{xoversqrt{x+3}}mathrm{dx}=begin{vmatrix} x+3=t^2, ; t_1=2\ mathrm{dx}=2tmathrm{dt}, ; t_2=3 end{vmatrix}=2int_{2}^{3}{t(t^2-3)mathrm{dt}over t}=2int_{2}^{3}t^2mathrm{dt}-6int_{2}^{3}mathrm{dt}={2over3}t^3|_{2}^{3}-6t|_{2}^{3}={2over3}(27-8)-6(3-2)={38over3}-{18over3}=boldsymbol{{20over3}}\\ int_{0}^{1}xe^xmathrm{dx}=begin{vmatrix} u=x, mathrm{du}=mathrm{dx}\ mathrm{dv}=e^xmathrm{dx}, v=e^x end{vmatrix}=xe^x|_{0}^{1}-int_{0}^{1}e^xmathrm{dx}=(1cdot e^1-0cdot e^0)-e^x|_{0}^{1}=e-(e^1-e^0)=boldsymbol{1} $$
Приложения:
Вас заинтересует