• Предмет: Математика
  • Автор: vitas0922
  • Вопрос задан 9 лет назад

найти предел с решением

Приложения:

Ответы

Ответ дал: moboqe
0
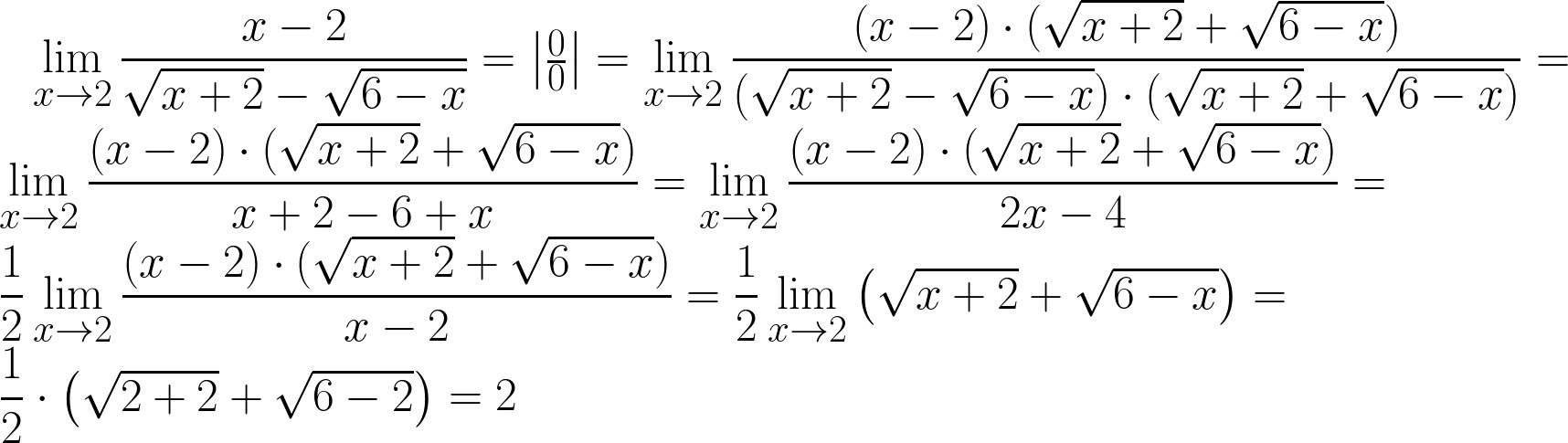
large lim_{xto2}{x-2over sqrt{x+2}-sqrt{6-x}}=begin{vmatrix} {0over0} end{vmatrix}=lim_{xto2}{(x-2)cdot(sqrt{x+2}+sqrt{6-x})over (sqrt{x+2}-sqrt{6-x})cdot(sqrt{x+2}+sqrt{6-x})}=lim_{xto2}{(x-2)cdot(sqrt{x+2}+sqrt{6-x})over x+2-6+x}=lim_{xto2}{(x-2)cdot(sqrt{x+2}+sqrt{6-x})over 2x-4}={1over2}lim_{xto2}{(x-2)cdot(sqrt{x+2}+sqrt{6-x})over x-2}={1over2}lim_{xto2}begin{pmatrix} sqrt{x+2}+sqrt{6-x} end{pmatrix}={1over2}cdotbegin{pmatrix} sqrt{2+2}+sqrt{6-2} end{pmatrix}=2
Приложения:
Вас заинтересует