• Предмет: Алгебра
  • Автор: вика2112
  • Вопрос задан 8 лет назад

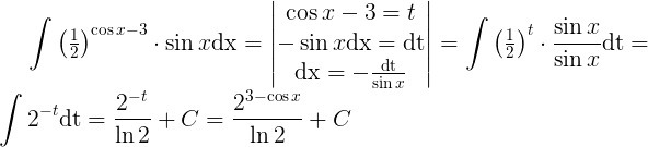
Решить интеграл методом замены переменной

Приложения:

Ответы

Ответ дал: moboqe
0
large intbegin{pmatrix} {1over2} end{pmatrix}^{cos{x}-3}cdot sin{x}mathrm{dx}=begin{vmatrix} cos{x}-3=t\ -sin{x}mathrm{dx}=mathrm{dt}\ mathrm{dx}=-{mathrm{dt}oversin{x}} end{vmatrix}=intbegin{pmatrix} {1over2} end{pmatrix}^tcdot {sin{x}oversin{x}}mathrm{dt}=int{2}^{-t}mathrm{dt}={2^{-t}over ln{2}}+C={2^{3-cos{x}}overln{2}}+C
Приложения:
Вас заинтересует