• Предмет: Алгебра
  • Автор: flower65
  • Вопрос задан 9 лет назад

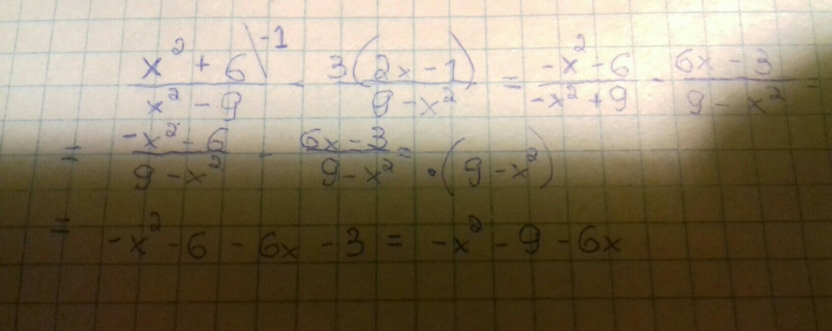
упростите выражение пожалуйста

Приложения:

Ответы

Ответ дал: ашоттрубошот
0
x^2+6/x^2-9-3(2x-1)/9-x^2=x^2+6/x^2-9+6x-3/x^2-9=x^2+6+6x-3=x^2+6x+3
Ответ дал: СофьяСкурдж
0
Ответ на фото . Думаю подчерк понятный. Там где умножаем на (9 - х2) , то можно записать это как дробь ( 9- х2 / 1 ) и умножить на первую и вторую дроби. Так знаминатель "убирается ".
Приложения:
Вас заинтересует