• Предмет: Алгебра
  • Автор: fghj47448b
  • Вопрос задан 8 лет назад

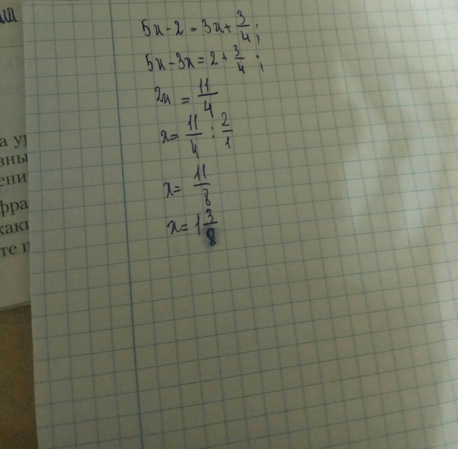
Решите Уравнение:
5x-2=3x+3/4

Ответы

Ответ дал: DashaE13
0
вот)))))))))))))))))))))
Приложения:
Вас заинтересует