• Предмет: Математика
  • Автор: 228pacan322
  • Вопрос задан 8 лет назад

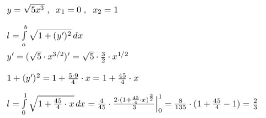
Вычислить длину дуги кривой y=√(5*(x^3)) в пределах от x=0 до x=1
Помогите пж

Ответы

Ответ дал: NNNLLL54
0
.......................................................................................................................
Приложения:
Вас заинтересует