• Предмет: Математика
  • Автор: DniweMorskoe
  • Вопрос задан 8 лет назад

порешайте, а то чес выходит какой-то

Приложения:

Ответы

Ответ дал: IrkaShevko
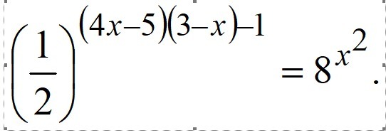
0
(2^{-1})^{-4x^2+17x-15-1}=(2^3)^{x^2}\
2^{4x^2-17x+16}=2^{3x^2}\
4x^2-17x+16=3x^2\
x^2-17x+16=0\
D=289-64=225\
x_1= frac{17-15}{2} =1\
x_2= frac{17+15}{2} =16

Ответ: 1 и 16
Вас заинтересует