• Предмет: Алгебра
  • Автор: mishhenkokatya
  • Вопрос задан 8 лет назад

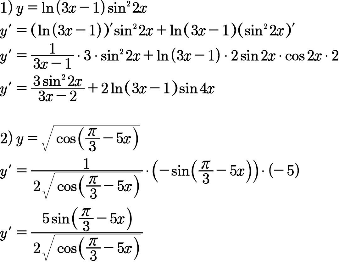
Найти производную 

a)y=ln(3x-1)*sin^{4}2x

b)y= sqrt{cos( frac{ pi }{3}-5x) }





Ответы

Ответ дал: Tanda80
0
1) Использовали правила: производная произведения и производная сложной функции. А, так же, формулу синус двойного аргумента.
2) Использовали правило производная сложной функции.
Приложения:
Ответ дал: mishhenkokatya
0
спасибо огромное!!!!
Ответ дал: Tanda80
0
Пожалуйста!
Вас заинтересует