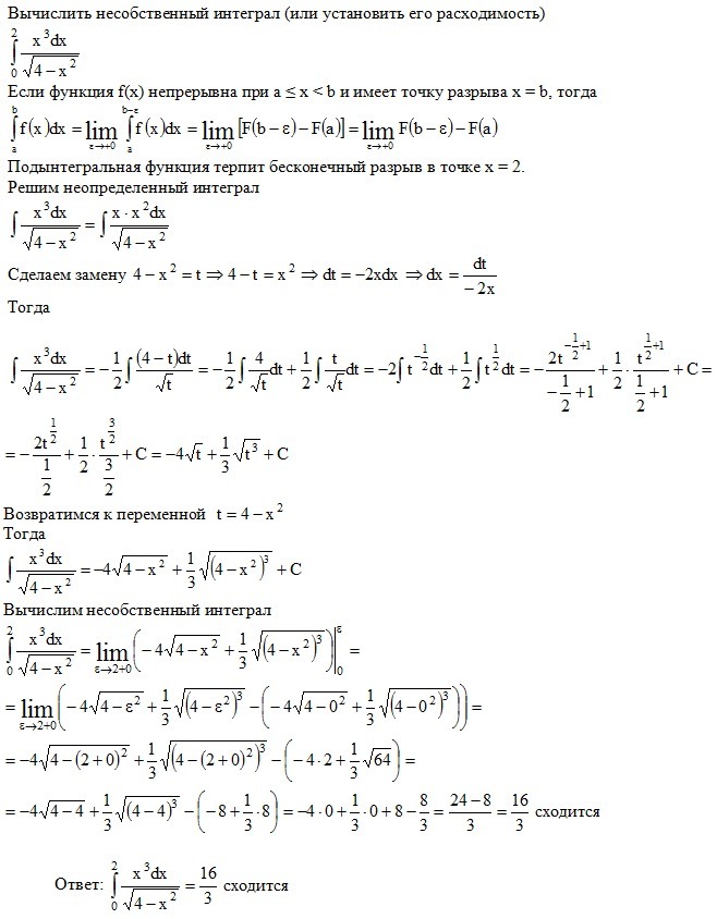
Помогите, пожалуйста, вычислить несобственный интеграл (или установить его расходимость).
2интеграл0 (x^3)/sqrt(4-(x^2))
Благодарю!
Ответы
Ответ дал:
0
Решение на фотографии
Приложения:

Вас заинтересует
2 года назад
2 года назад
3 года назад
3 года назад
9 лет назад