• Предмет: Математика
  • Автор: zhenyvoita
  • Вопрос задан 9 лет назад

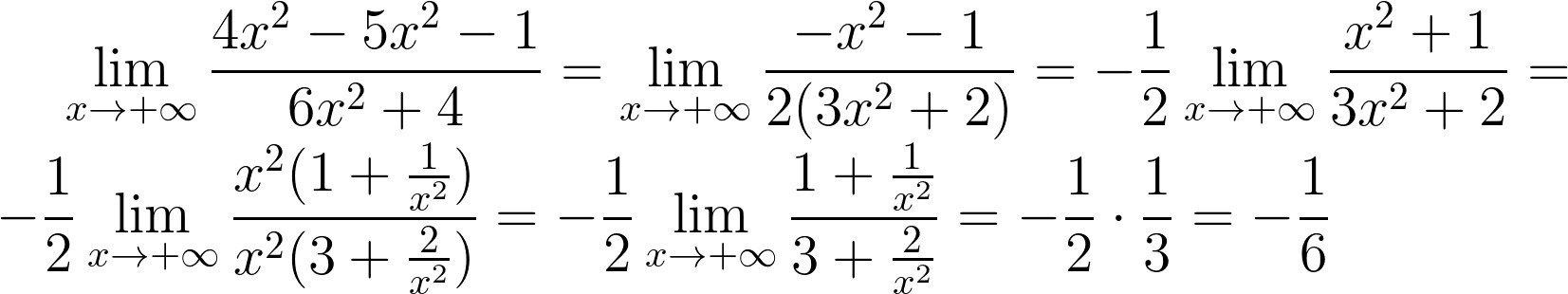
найти придел функции lim x->+00 при (4x^2-5x^2-1)/(6x^2+4)

решите, пожалуйста

Ответы

Ответ дал: moboqe
0
large lim_{xto+infty}{4x^2-5x^2-1over6x^2+4}= lim_{xto+infty}{-x^2-1over2(3x^2+2)}=-{1over2}lim_{xto+infty}{x^2+1over3x^2+2}=-{1over2}lim_{xto+infty}{x^2(1+{1over x^2})over x^2(3+{2over x^2})}=-{1over2}lim_{xto+infty}{1+{1over x^2}over 3+{2over x^2}}=-{1over2}cdot{1over3}=-{1over6}
Приложения:
Вас заинтересует