• Предмет: Геометрия
  • Автор: XboX11
  • Вопрос задан 8 лет назад

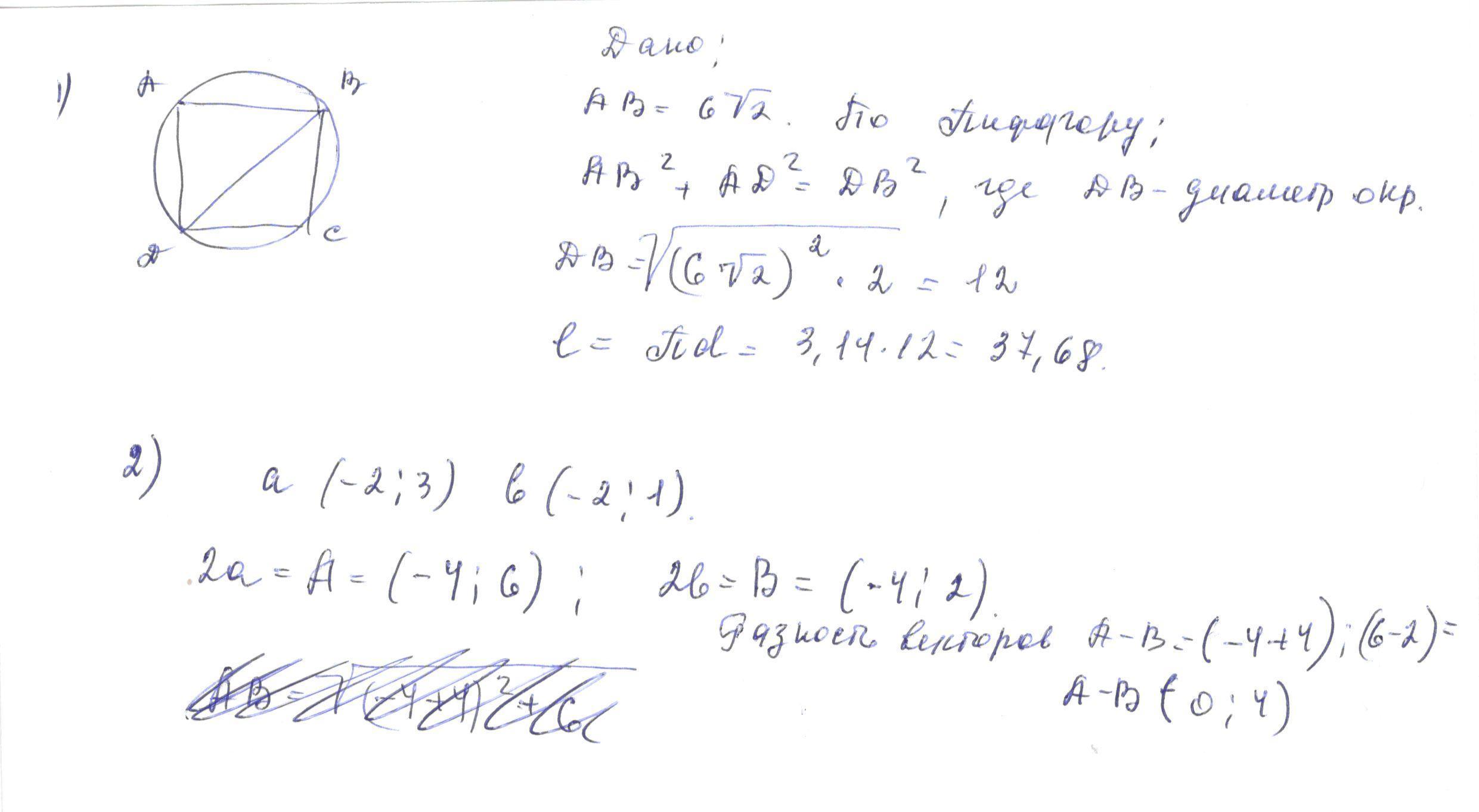
СРОЧНО!!! ДАЮ 30 БАЛЛОВ!!! ПОМОГИТЕ!!! 1) Найдите длину окружности, описанной около квадрата со стороной 6√2.
2) Найдите длину вектора 2а - 2b, если вектор а(-2;-3), b(-2;1)

Ответы

Ответ дал: KjkfKthf
0
Решение в приложении
Приложения:
Вас заинтересует