• Предмет: Математика
  • Автор: anyakori
  • Вопрос задан 8 лет назад

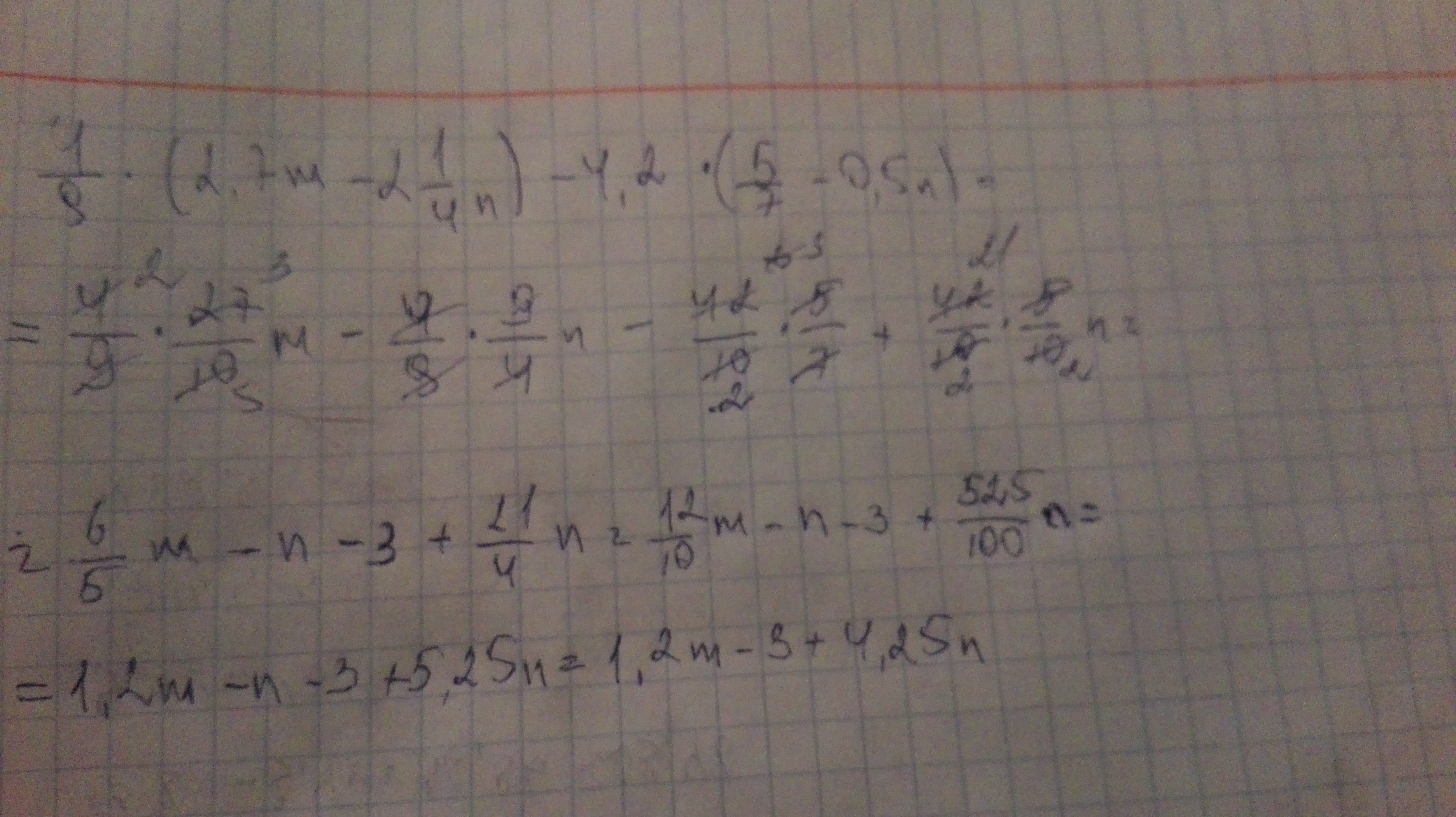
4/9(2,7m-2 целые 1/4n)-4,2(5/7-0,5n)
Упростите выражение
Помогите пожалуйсааа

Ответы

Ответ дал: 8286505
0
,,,,,,,,,,,,,,,,,,,,,,,,,,,,,, ,,,, ,,,,, ,,,,,,,,,,,,
Приложения:
Вас заинтересует