• Предмет: Математика
  • Автор: rhbrrb
  • Вопрос задан 8 лет назад

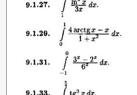
Помогите решить 2 определенных интеграла!! пожалуйста! 9.1.29 и 9.1.31! фото прикреплено

Приложения:

Ответа на этот вопрос пока нет. Попробуйте найти его через форму поиска.

Вас заинтересует