• Предмет: Алгебра
  • Автор: khokhlovakater
  • Вопрос задан 8 лет назад

СРОЧНО!ПОМОГИТЕ !АЛГЕБРА 10 КЛАСС! ТОЛЬКО С РЕШЕНИЕМ! ДАЮ 85Б

Приложения:

Ответы

Ответ дал: justcall
0
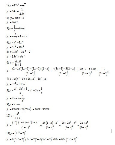
Решение смотри ниже.

Приложения:
Вас заинтересует