Выполните действия и сократите результат:
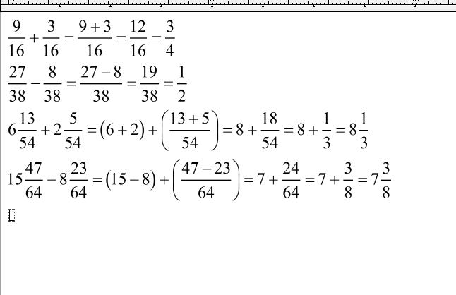
9/16+3/16
27/38-8/38
6 целое 13/54+2 целое 5/54
15 целое 47/64-8 целое 23/64
Заренее спасибо!
Умоляю!
Ответы
Ответ дал:
0
============================================
Приложения:
Ответ дал:
0
9/16+3/16=12/16=3/4
27/38-8/38=19/38=1/2
6ц13/54+2ц5/54=8ц18/54=8ц1/3
15ц47/64-8ц23/64=7ц24/64=7ц3/8
про целые не уверена
27/38-8/38=19/38=1/2
6ц13/54+2ц5/54=8ц18/54=8ц1/3
15ц47/64-8ц23/64=7ц24/64=7ц3/8
про целые не уверена
Приложения:
Вас заинтересует
3 года назад
3 года назад
8 лет назад
8 лет назад
11 лет назад
11 лет назад
11 лет назад