СРОЧНО
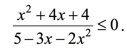
Решить неравенство.
1)(-2,5; -2)U(-2;1)
2)(-2,5; -2)U(1; +∞)
3)(-∞; -2,5)U{-2}U(1;+∞)
4)(-∞; -2,5)U[-2;1)
Приложения:

Ответа на этот вопрос пока нет. Попробуйте найти его через форму поиска.
Вас заинтересует
2 года назад
3 года назад
3 года назад
9 лет назад