• Предмет: Алгебра
  • Автор: noname0992
  • Вопрос задан 8 лет назад

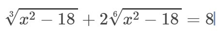
Произведение корней (или корень, если он один) уравнения:

Приложения:

Ответа на этот вопрос пока нет. Попробуйте найти его через форму поиска.

Вас заинтересует