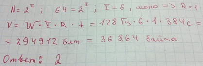
1) Производится одноканальная (моно)
звукозапись с частотой дискретизации 128 Гц. При записи использовались 64
уровня дискретизации. Запись длится 6 минут 24 секунд, её результаты
записываются в файл, причём каждый сигнал кодируется минимально возможным и
одинаковым количеством битов. Какое из приведённых ниже чисел наиболее близко к
размеру полученного файла, выраженному в килобайтах?
1) 24 2)
36 3) 128 4) 384
Ответы
Ответ дал:
0
Решение на фото, удачи :)
Приложения:

Вас заинтересует
8 лет назад
8 лет назад
10 лет назад
10 лет назад