• Предмет: Математика
  • Автор: evaava098
  • Вопрос задан 8 лет назад

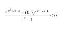
4^(x^2+3x-2) - 0,5^(2x^2+2x-1)/ 5^(x) - 1 ≤ 0 Подробно если можно :)

Приложения:

Ответы

Ответ дал: tlq
0
Получается как-то так...
Приложения:
Вас заинтересует