• Предмет: Математика
  • Автор: evaava098
  • Вопрос задан 8 лет назад

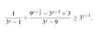
1/3^(x) - 1 + 9^(x+1/2) - 3^(x+3) +3 / 3^(x) - 9 ≥ 3^(x+1)

Приложения:

Ответы

Ответ дал: chòjjjo
0
ну тип так (решал в спешке может быть не правельно что то)
Приложения:
Вас заинтересует