боже мой, объясните откуда 32 и куда все делось и что тут вообще разложилось и перемножилось
Приложения:
Ответы
Ответ дал:
0
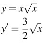
задана функция 
учитывая свойство степеней с одинаковым основанием и дробным показателем
![a^{frac{n}{m}}=sqrt[m] {a^n} a^{frac{n}{m}}=sqrt[m] {a^n}](https://tex.z-dn.net/?f=a%5E%7Bfrac%7Bn%7D%7Bm%7D%7D%3Dsqrt%5Bm%5D+%7Ba%5En%7D)
![a^{frac{1}{2}}=sqrt[2] {a^1}=sqrt{a} a^{frac{1}{2}}=sqrt[2] {a^1}=sqrt{a}](https://tex.z-dn.net/?f=a%5E%7Bfrac%7B1%7D%7B2%7D%7D%3Dsqrt%5B2%5D+%7Ba%5E1%7D%3Dsqrt%7Ba%7D)

можно переписать в виде

далее мы ищем производную функцию
для степенной есть формула

тогда
соотвественно получаем в данном случае

учитывая свойство степеней с одинаковым основанием и дробным показателем
можно переписать в виде
далее мы ищем производную функцию
для степенной есть формула
тогда
соотвественно получаем в данном случае
Приложения:
Вас заинтересует
2 года назад
2 года назад
3 года назад
9 лет назад
9 лет назад
10 лет назад