• Предмет: Алгебра
  • Автор: lava22
  • Вопрос задан 9 лет назад

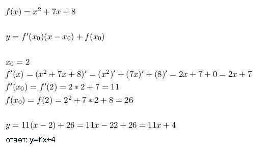
Напиши уравнение касательной к графику функции f(x)=x2+7x+8 в точке с абсциссой x0=2.

Ответы

Ответ дал: dtnth
0
f(x)=x^2+7x+8

y=f'(x_0)(x-x_0)+f(x_0)

x_0=2
f'(x)=(x^2+7x+8)'=(x^2)'+(7x)'+(8)'=2x+7+0=2x+7
f'(x_0)=f'(2)=2*2+7=11
f(x_0)=f(2)=2^2+7*2+8=26

y=11(x-2)+26=11x-22+26=11x+4
ответ: y=11x+4 
Приложения:
Вас заинтересует