• Предмет: Математика
  • Автор: fill2312
  • Вопрос задан 8 лет назад

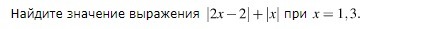
Найдите выражение: (HEELPP:C)

Приложения:

Ответа на этот вопрос пока нет. Попробуйте найти его через форму поиска.

Вас заинтересует