• Предмет: Математика
  • Автор: kashlikov49
  • Вопрос задан 8 лет назад

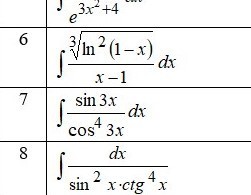
Найти неопределённый интеграл под номером 8

Приложения:

Ответы

Ответ дал: Vas61
0
sin²xctg⁴x=sin²xcos⁴x/sin⁴x=cos⁴x/sin²x
∫dx/sin²xctg⁴x=∫sin²xdx/cos⁴x=∫tg²xdx/cos²x=|tgx=t dtgx=dt dx/cos²x=dt|=∫t²dt=t³/3+C=tg³x/3+C
Ответ дал: Simba2017
0
неверно, котангенс в 4 степени!
Вас заинтересует