• Предмет: Алгебра
  • Автор: димдилен2
  • Вопрос задан 9 лет назад

Полное решение пожалуйста

Приложения:

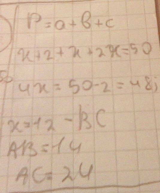
Ответы

Ответ дал: Pandovna
0
.............................
Приложения:
Вас заинтересует