Ответы
Ответ дал:
0
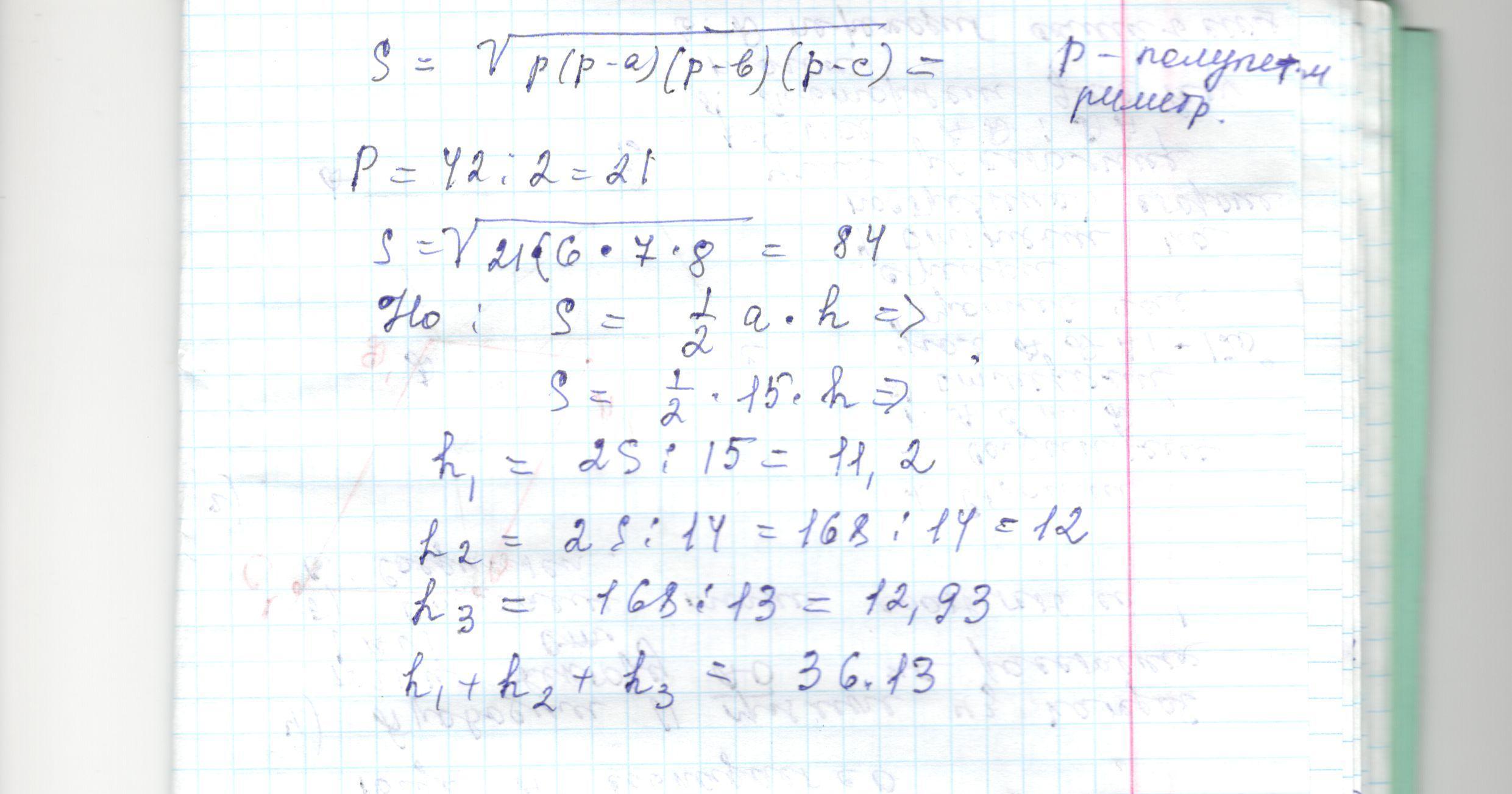
Картинка не крепится, там удобнее, если что неясно - спроси.По формуле Герона вычисляем площадь. S=√ (p(p-a)(p-b)(p-c)), где р- полупириметр, Р=21
S=√(21*6*7*7)=84,
Но S=1/2a*h => h=2S:a, тогда h1=2*84:15=168:1511,2; h2=168:14=12; h3=168:13=12,93 h1+h2+h3=11,2+12+12,93=36,13
S=√(21*6*7*7)=84,
Но S=1/2a*h => h=2S:a, тогда h1=2*84:15=168:1511,2; h2=168:14=12; h3=168:13=12,93 h1+h2+h3=11,2+12+12,93=36,13
√
Приложения:

Ответ дал:
0
всех высот сумму нужно найти. я ошиблась при наборе условия
Ответ дал:
0
13+14+15 = 42...
Ответ дал:
0
Сейчас посмотрю
Вас заинтересует
2 года назад
3 года назад
3 года назад
9 лет назад
9 лет назад
9 лет назад
9 лет назад