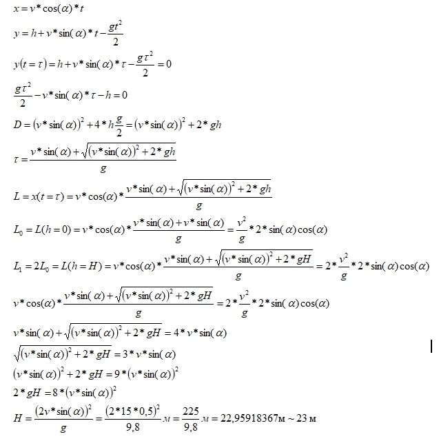
Тело бросают с поверхности земли под углом 30° к горизонту с начальной скоростью 15 м/с. На какую высоту необходимо поднять точку бросания, чтобы дальность полета увеличилась в 2 раза (угол и начальная скорость неизменны)? Ответ округлите до целых. Ускорение свободного падения считать равным 9,8 м/с2. Сопротивление воздуха не учитывать. решение
Ответы
Ответ дал:
0
смотри решение во вложении
Приложения:
Вас заинтересует
2 года назад
2 года назад
3 года назад
3 года назад
9 лет назад
10 лет назад