• Предмет: Математика
  • Автор: алисаБро111
  • Вопрос задан 8 лет назад

Помогите пожалуйста решить номера 997,998 срочно пажалуста очень надо)))))

Приложения:

Ответы

Ответ дал: sashaboom2
0
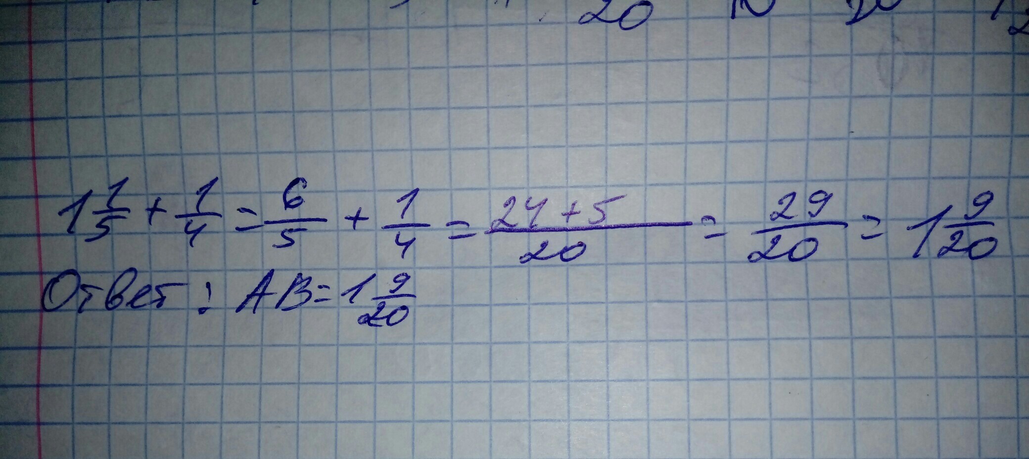
Номер 998
Надеюсь, я помогу
Приложения:
Вас заинтересует